我國新疆砂礫巖油藏儲量豐富。然而砂礫巖儲層具有非均質性較強、孔喉結構復雜、孔徑分布較廣的特點,砂礫巖全尺度孔隙結構和可動油分布的定量化分析十分關鍵。
核磁共振((NMR)是一種快速、無損的測孔技術。它通過測試飽和含氫流體巖心的核磁共振T2譜,獲得巖石物性和流體賦存狀態信息(孔隙度、滲透率、孔徑分布、可動流體占比等)。而表征全尺度孔徑分布的關鍵是確定橫向弛豫時間T2與孔徑r之間的轉換系數C。
轉換系數C值的獲取方法有經驗法、T2截止值法和相似性法。經驗法僅適用于特定均質性較強儲層;T2截止值法僅適用于孔隙連通性較好的儲層;相似性法是目前針對低滲、致密儲層zui為常用的方法,其中T2譜與高壓壓汞孔徑分布曲線的結合zui為普遍。然而砂礫巖滲透率相對較低、汞注入飽和度通常低于50%,核磁結合高壓壓汞確定C值的方法對砂礫巖并不適用。
本文提出一種低溫氮氣吸附結合核磁共振確定C值的方法。低溫氮氣吸附可表征孔喉分布,可識別的zui小孔徑取決于設定的zui小相對壓力。而核磁共振可表征的zui小孔隙取決于飽和流體的原子尺寸和核磁共振參數TE值。當選取合適的飽和流體和合適的參數時,通過低溫氮氣吸附獲得的孔徑分布和核磁共振T2譜就會在<200nm范圍內有很好的相似性。
1.實驗簡介:
本文制備了18組取自新疆油田砂礫巖儲層的樣本(表1),將每組樣本分為六份,分別進行了X射線衍射(XRD)、鑄體薄片、掃描電鏡(SEM)、低溫氮氣吸附(LTNA)、高壓壓汞(HPMI)和NMR測試,其中NMR測試通過紐邁公司生產的MesoMR3-060H-I核磁共振儀進行。
表1 砂礫巖樣本巖性及主要礦物質含量

礦物組分和沉積成分特征:砂礫巖以石英(44.3%)和長石(40.1%)為主,其次為粘土礦物(10.3%),見表1。通過鑄體薄片分析得知砂礫巖沉積碎屑顆粒以巖石碎屑(58.2%)為主,其次是長石碎屑(15.9%)和石英碎屑(12.3%)。顆粒分選性由中到差,圓度主要為近圓形和近棱角形。石英和長石碎屑越多,微米級孔隙越發育;火山巖碎屑、泥質基質和膠結物越多,微米級孔隙越不發育。

圖1 鑄體薄片中主要的孔隙類型(Q,石英;F,長石;R,巖屑;C,碳酸鹽膠結物)
儲集空間特征:結合鑄體薄片和掃描電鏡(見圖2),砂礫巖儲集空間有五種類型:原生粒間孔、粒間溶孔、鑄模孔、粒內溶孔和晶間孔。

圖2 掃描電鏡中的主要孔類型
原生粒間孔、粒間溶孔和鑄模孔尺寸相對較大,從幾十到幾百納米;粒內溶孔孔徑范圍較廣,從幾十納米到幾十微米;粘土晶間孔孔徑相對較小,主要在幾納米到幾十納米分布。
低溫氮氣吸附:砂礫巖氮氣吸附/解吸等溫線存在明顯的滯后環,滯后環類型可以反映多孔介質的孔隙形態。砂礫巖樣本的滯后環大致分為四種類型(見圖3):樣本1#、8#、5#和11#分別對應開縫孔、狹縫孔、墨水瓶孔和細頸寬體的墨水瓶孔。

圖3 砂礫巖樣本氮氣吸附/解吸等溫線
通過DFT模型獲得的砂礫巖孔徑分布曲線見圖4。曲線呈左半峰或單峰形態,主要分布在大于0.02μm的部分。

圖4 通過DFT模型獲得的砂礫巖樣本孔徑分布
核磁共振 T2 譜:本文測試了樣本在三種狀態下的核磁共振 T2 譜:(1)洗油并110℃干燥后;(2)正十二烷飽和-So;(3)正十二烷離心-Soir。洗油干燥樣本的 T2 譜代表巖石顆粒表面的束縛水和粘土層間緊密結合的羥基水。So和Soir狀態下的 T2 譜需要減去干燥樣本的T2譜。

圖5 So和Soir狀態下的NMR T2譜
樣本在So狀態下的NMR T2 譜如圖5實線所示。T2譜整體呈三峰結構,存在四種類型:類型I有三個連續峰,P1峰zui高,P2與P3較為接近;類型II有明顯的P1和P3峰,P3峰左移;類型III有明顯的P1和P2峰或P1+P2峰;類型IV P1峰幅值zui高,P2和P3峰均較小。
Soir狀態通過將飽和油狀態下的樣本離心去可動油獲得。通過計算得知本文殘余油存在于小于0.014μm的孔隙或由小于0.014μm的喉道控制的孔隙中。Soir狀態下的樣本 T2 譜如圖5虛線所示,大部分樣本存在兩個峰(P1和P2)。
T2 截止值通過So和Soir狀態下 T2 譜確定,見圖6。18個實驗樣本的T2截止值由0.438到12.993ms變化,顯著低于常規的砂巖和碳酸鹽巖。 T2 截止值的變化主要受巖性、潤濕性、鐵磁成分和孔喉結構影響。

圖6 樣本通過So和Soir狀態下T2譜計算的截止值
通過比較So和Soir狀態下 T2 譜我們可以定量評價砂礫巖可動油飽和度(Smo)。當樣本從類型I到類型IV變化時,Smo呈遞減趨勢(47.49-25.01%)。
轉換T2譜為孔徑分布的新方法

圖7 通過DFT模型計算的孔徑分布與Soir狀態下的NMR T2譜對比
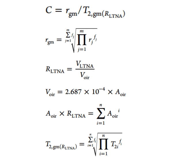
通過比較Soir狀態的 T2 譜和低溫氮氣吸附獲得的孔徑分布曲線,我們發現Soir狀態下 T2 譜的第1峰與DFT模型的孔徑分布在形態和幅值上有很好地相似性(見圖7)。因此,我們可以通過DFT孔徑分布校準NMR T2 譜。關于轉換系數C值的計算公式如下:

其中,rgm為DFT模型孔徑分布的加權幾何平均值;RLTNA為對應Voir的低溫氮氣吸附實驗表征的孔隙體積占比;Voir為Soir狀態的NMR孔體積;Aoir為Soir狀態下的NMR累積信號幅值;T2gm(RLTNA)為對應RLTNA占比的Soir狀態T2譜的T2加權幾何平均。

圖8 砂礫巖樣本全尺度孔徑分布
通過轉換系數C值得到的樣本全尺度孔徑分布見圖8。類型I樣本孔隙主要在0.001-200μm范圍發育;類型II樣本孔隙主要在小于100μm范圍分布;類型III樣本主要為小于20μm的孔隙;類型IV樣本主要為納米級孔隙,微米級孔隙較少。
可動油分布特征及控制因素分析:
對于所有樣本,大于6μm的孔隙主要為粒間孔、粒間溶孔和鑄模孔,主要含可動油(占比超90%);0.1到6μm的孔隙主要為粒內溶孔和粘土晶間孔,該范圍內可動油占比隨孔徑增加而快速增加(20-80%);小于0.1μm的孔隙主要為粘土晶間孔,主要含殘余油,可動油占比普遍較低(<20%)。可以發現,大尺寸孔隙占比越大,可動油飽和度越高。
通過進一步分析可動油體積和壓汞體積的關系發現,可動油體積主要為喉道大于0.44μm的孔體積。微觀來看可動油分布主要受孔喉結構影響,圖9總結了砂礫巖主要的孔喉結構類型,可動油占比:A>C>B>D>E。

圖9 砂礫巖中發育的五種主要的孔喉結構
宏觀來看,礦物組分和巖石結構影響孔喉結構特征,進而決定油的可動性。石英含量越高,喉道和初始孔尺寸越大,A型孔喉越發育;長石含量越高,A、B和C型孔喉越發育;方解石含量越高,孔喉尺寸越小,D型孔喉越發育;粘土礦物含量越高,D和E型孔喉越發育。可動油飽和度隨石英、長石礦物含量增加而增加,隨方解石和粘土礦物含量增加而減小。
本文對18組砂礫巖樣本進行了全尺度孔徑分布表征和可動油分布和控制因素的定量化研究。有以下成果:
電話:400-060-3233
售后:400-060-3233
返回頂部