水凝膠是一種應用前景非常廣闊的高分子材料,但是絕大多數的水凝膠由于水分含量過高,導致水凝膠只能在較窄的溫度范圍內工作。在零度以下時,水凝膠的物理化學性質會發生劇烈變化,冰晶的形成破壞了網絡結構,導致水凝膠由韌性轉變脆性,并使得水凝膠的透明度降低,從而限制了水凝膠的應用。發展具有抗凍性能和低溫力學性能的水凝膠是一項具有前景的研究。水凝膠中的水分子根據其與聚合物網絡的相互作用強度,可以分為結合水和自由水。其中,自由水的存在導致水凝膠在低溫條件下(大約-10℃時)發生凍結。為了降低凝膠中“自由水”的冷凍溫度,通常使用一些低溫保護劑(如無機鹽和有機溶劑)混入水凝膠中,以保證水凝膠在低溫下不凍結。

目前只能用一些常規的力學方法來表征水凝膠抗凍能力,該方法操作較為繁瑣且對材料具有破壞性,使用蘇州紐邁分析儀器股份有限公司生產的低場核磁變溫分析儀VTMR20-010V-I可以對水凝膠的抗凍性能做出很好的表征,該方法通過測試水凝膠中不同水的狀態去表征水凝膠的抗凍能力,該測試方法原位無損,且方便快捷。
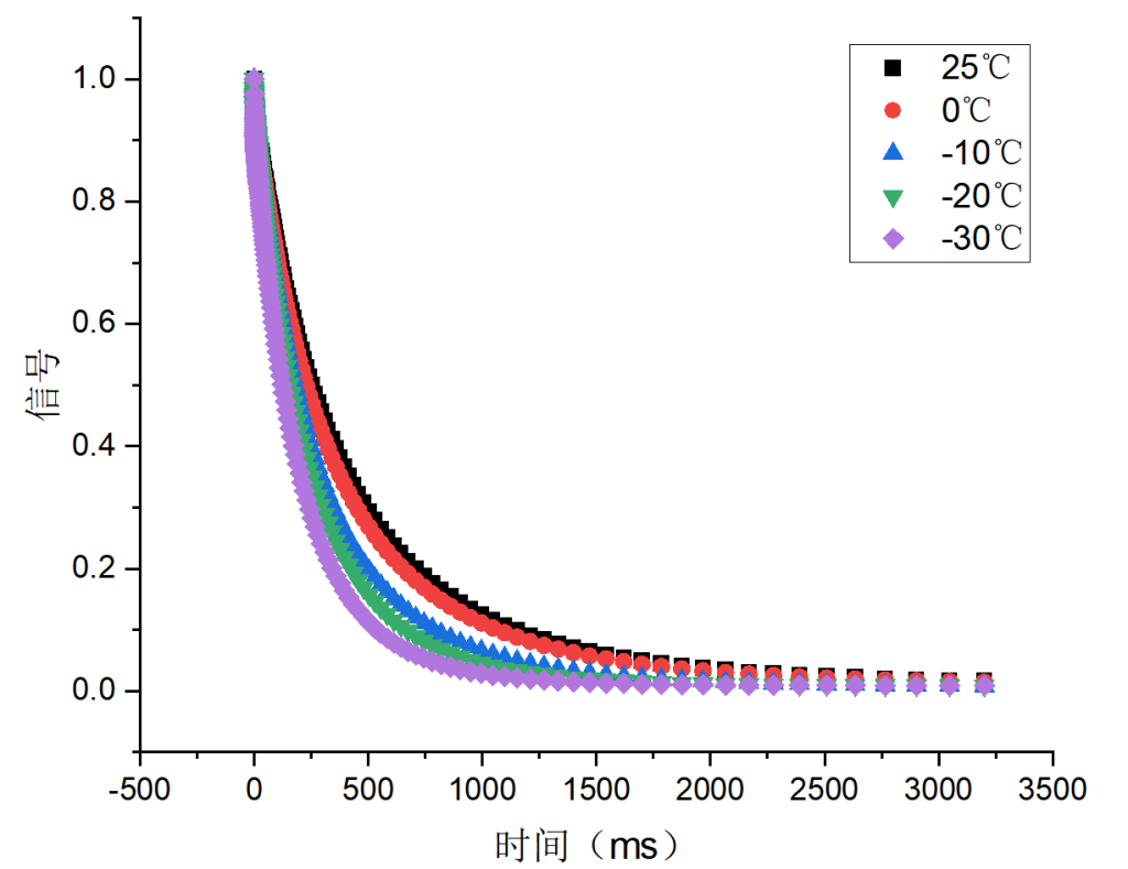
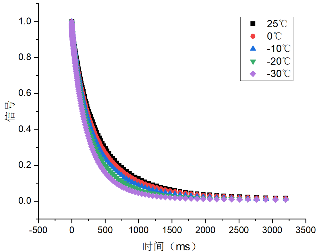
針對添加了不同鹽含量的三種水凝膠樣品a、b、c,其鹽含量添加量依此升高,首先對其進行了不同溫度下的弛豫行為分析,測試溫度為依此為25℃、0℃、-10℃、-20℃、-30℃。



圖1:樣品a、b、c的弛豫行為
三種樣品的弛豫行為類似,隨著溫度的降低,水凝膠中自由水的活動會越來越弱,導致弛豫越來越快,從三張圖中可以看出,樣品c的弛豫變化相較于a、b不明顯,說明隨著鹽含量的增加,樣品c中自由水受到溫度變化產生的影響較樣品a、b明顯變少,也證明了樣品c的抗凍性能力較a、b更強。
接著對該弛豫曲線進行反演,能夠獲知水凝膠中自由水、中間水、結合水的比例。

自由水的比例變化決定了水凝膠的抗凍性能,不同溫度下自由水比例變化越小,水凝膠越抗凍。從圖表中可以看出,隨著溫度的降低,樣品c中的自由水含量變化是最小的,也證明了樣品c的抗凍能力較a、b來說更強。
如您對以上應用感興趣,歡迎咨詢:15618037925
電話:400-060-3233
售后:400-060-3233
返回頂部