本研究利用定制的低場核磁共振測試,研究了濕度循環環境下不同程度受損鹽巖的水分滲吸行為及其對空隙結構的影響。本文還對離心試樣和飽和試樣一并進行了測試,以輔助分析。鹽巖中的流體可及空隙包括介觀空隙(2-50 nm)和宏觀空隙(>50 nm)。在首個周期的潮濕階段,介觀空隙的滲吸落后于宏觀空隙,而在隨后的干燥階段,介觀空隙的失水比宏觀空隙更明顯、更迅速。在長期的處理過程中,滲吸持續存在,并且所有試樣的宏觀空隙體積都明顯減小,而介觀空隙的體積則略有增加。據推斷,介觀空隙中較大的粘滯力阻礙了其滲吸和水分的補充,導致了首個周期中測試結果的差異。鹵水的持續滲吸激活了宏觀空隙中的兩種自修復機制:擴散傳質和重結晶,從而將連續的大裂縫轉化為充滿重結晶微結構的孤立空隙,有效地將宏觀空隙轉化為介觀空隙。總之,本研究描述了鹽巖在濕度循環下受自愈機制影響的復雜滲吸行為和空隙結構演化,為評估壓氣蓄能鹽穴的長期穩定性和完整性提供了新見解。

圖1 來自Khewra礦的(a)白色、(b)橙色和(c)紅色鹽巖
選定的巖石被線切割成尺寸為15×15×45毫米的立方試樣,以適合核磁共振儀器的一英寸直徑的線圈。
如圖3a所示,使用巖石力學試驗機施加單軸壓縮。如圖2所示,選擇了一組較長的平面與加載板接觸。使用應變傳感器測量軸向應變。

圖2 每個巖石樣本平面的實驗功能

圖3 本研究中提到的實驗裝置
在 0.3 毫米/分鐘的位移控制下,首先將三個試樣壓縮至破壞,以獲得其平均單軸抗壓強度(UCS)和應力-應變曲線。
核磁共振測試是在低磁場1H NMR 儀器(MacroMR12-150H-I NMR;China, Niumag)上進行的,如圖 3d 所示,其磁場強度為 0.3 T,線圈工作頻率為 12 MHz。


圖5 每個樣本的實驗方案
在濕度循環之前,對所有六個試樣都進行了核磁共振測試。這些結果將作為基底,被隨后的結果所減去,由此消除材料內閉合空隙等原生信號源的影響。
各試樣的具體測試方案見圖5。在第一個周期中,三個實驗試樣每小時進行一次測試,以監測水分在不同裂紋水平下的遷移動態。第一個周期結束后,對試樣C-1和C-2分別進行干燥和飽和處理,以進行核磁共振測試。
實驗試樣隨后每隔六個周期(48小時)進行一次測試。試樣S-1和S-3再次進行真空飽和與核磁共振測試。

圖6 樣本C-3離心前后的T2譜圖
試樣C-3在離心前后的核磁共振測試結果如圖6所示。飽和試樣測得的兩個信號峰對應的T2值分別約為0.08和1600。離心2小時后,試樣的累積信號強度從2467降至1689。

圖7 樣本S-1(a)、S-2(b)和S-3(c)在第一個濕度循環期間的T2譜圖
圖 7顯示了三個實驗試樣在第一個周期的每小時核磁共振測試結果。在未損壞的試樣 S-1 中,T2譜顯示存在三個明顯的峰。這三個峰的強度最大值分別對應0.04、5.35 和 174.26 ms的T2值。根據離心測試,我們將左峰歸于結合水和介孔中的水。中間和右側的峰分別源于較小和較大的宏觀空隙中所存在得自由水。在 4 小時的潮濕階段,中峰迅速上升,達到極值23.0,兩小時后下降。其它兩個峰在整個階段都呈現出逐漸上升的趨勢。過渡到干燥階段后,所有三個峰都有所下降。
第一個周期的結果總結有四個顯著特點:
1. 未損壞的試樣顯示出三個明顯的峰值,其中兩個來自宏觀空隙中的自由水。而兩個損壞的試樣沒有出現中間峰值。
2.隨著應變增加到5.70%,右峰繼續右移,即轉向更高的松弛時間,從148.20 ms增加到1500 ms。同時,所有三個試樣的左側峰值始終保持在約0.05 ms的弛豫時間。
3.在潮濕階段,右峰持續上升,在四個小時內達到最大值。而左峰出現了延遲上升。
4.在干燥階段,左側峰值最初仍保有上升趨勢,但在隨后的兩小時內迅速減小至零。相反,右峰則是持續、緩慢地下降,直到周期結束時,仍保留了可測量的信號。

圖8 長期濕度循環過程中樣本S-1(a)、S-2(b)和S-3(c)的T2譜圖

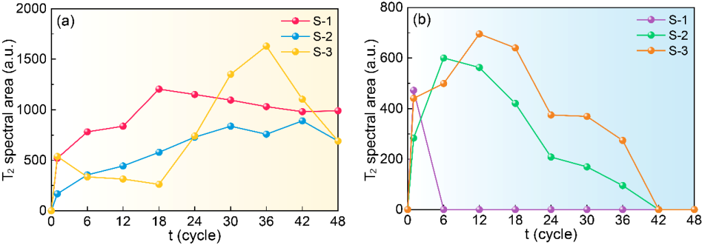
圖9 三個實驗樣本左側(a)和右側(b)峰的累積T2譜圖面積
圖9顯示了三個實驗試樣在六個周期,時間為48小時的間隔,所進行的9次核磁共振測試結果,一同展示的還有第一個周期結束后的結果。不過,測得的T2譜在形狀和高度上都有變化。為了直觀地顯示試樣中的含水量,繪制了左右兩個峰的譜面積變化圖,如圖9所示。
長期核磁共振測試的T2譜具有以下幾個顯著特征:
1.雖然三個試樣的左峰所對應的T2值保持一致,但其形狀存在細微差別。相反,未損壞試樣的右峰在六個周期后不再出現。受損的試樣的右峰則表現出相似的形狀和明顯的繼續右移趨勢,最終在實驗結束前消失。
2.三個試樣的峰面積呈現出類似的先增后減規律。不過,左峰的變化滯后于右峰的變化。
3.大多數情況下,試樣的右峰面積小于左峰。

圖10 (a)未損壞試樣和(b)應變為5.70%的試樣在四種情況下的核磁共振結果,包括第1個循環和第48個循環的濕潤階段之后、第1個循環的飽和結果(由試樣C-1和C-2測試)和第48個循環之后的飽和結果(由試樣S-1和S-3測試)。
圖10顯示了在相同損傷程度下,實驗試樣在第1個和第48個循環中的T2譜與飽和結果的對比。由于水飽和狀態將不可逆轉地改變試樣的空隙結構和內部水分分布。飽和核磁共振測試僅在實驗試樣結束全程濕度循環過程后進行,以防止上述影響干擾監測。試樣C-1和試樣C-3分別與S-1及S-3具有一致的損壞程度,但未經過濕度循環,其飽和后的結果能反映這兩種損傷程度的鹽巖的原始空隙分布。雖然飽和測試是在兩組不同的試樣上進行,其空隙結構的離散性將潛在影響測試結果,但整體的結果差異有助于后續研究。
通過一系列核磁共振測試,確定了受損鹽巖在循環潮濕環境中的滲吸行為特征,以及該行為對巖石內部空隙結構演變的影響:水分滲吸顯著加速了鹽巖的自愈合效應,使內部宏觀空隙在幾周內被填充、分割,轉化為介觀空隙。由此受損鹽巖的結構完整性得到了顯著恢復。據此推測,腔周鹽巖的工程特性將得到改善,包括抗滲性和力學強度。滲吸的水分還能通過表面張力增加巖體材料的內聚力62。因此,我們的研究表明,循環濕度環境可加速周圍鹽巖的自愈合機制,降低CAES鹽穴運行過程中發生于腔周EDZ的氣體泄漏、洞穴坍塌和其它工程地質事故的可能性。
用于壓縮空氣儲能(CAES)的鹽穴每日都會受到濕度循環的影響。要評估CAES鹽穴的密封性和穩定性,就必須確定受損鹽巖在這種濕度環境中的滲吸情況及其對內部空隙結構的影響。在這項研究中,對受到初步損壞的鹽巖進行了濕度循環。我們的方法包括使用低場核磁共振來研究水分遷移和空隙結構演變。主要發現總結如下:
1.鹽巖中存在流體可及的空隙,分別是納米級介觀空隙和微米級宏觀空隙。宏觀空隙的尺度和體積隨著損傷程度的增加而增大。
2.在第一個循環的潮濕階段,兩種空隙的含水量都因吸水而呈上升趨勢。然而,宏觀空隙持續吸濕,而介觀空隙的吸濕存在延遲。在干燥階段開始時,介觀空隙體中的水分迅速下降至不可測,而宏觀空隙的脫水速度相對較慢。
3.至少在最初的12個周期中,試樣一直處于滲吸狀態。盡管總體積縮小了,但在處理過程中,宏觀空隙的平均尺寸卻逐漸增大了。實驗結束前,所有三個試樣中的宏觀空隙都被廣泛填充、隔離,轉化為介觀空隙,最終降低了試樣的空隙率。
4.鹵水在介觀空隙中相對較高的粘滯力被認為會減緩濕潤階段的滲吸和干燥階段向氣液界面補充鹵水的速度。這些限制解釋了介觀空隙中出現的滲吸和脫水滯后現象。

大口徑核磁共振成像分析儀MacroMR12-150H-I?
[1] Xu C, Xie R, Guo J,et al. Comprehensive characterization of petrophysical properties in shale by solvent extraction experiments and 2D NMR[J].Fuel, 2023, 335:127070-.
電話:400-060-3233
售后:400-060-3233
返回頂部